SHEUBytes: nuggets of information about children and young people health and wellbeing
|
SHEU : nationally-recognised, since 1977, as the specialist provider of reliable local survey data about young people's health and wellbeing |
|
|
||
| True/False : 98% 10-11 yr olds tell us they have never smoked at all ...? (GoodNews) | ||
| 14-15 yr old boys report that, after beer, their 2nd favourite alcoholic drink is ...? (Beer and Lager) | ||
| Up to 51% 12-15 yr olds report visiting their GP in the past 3 months (Visiting the Doctor) | ||
| 77% of 14-15 year old girls regularly report drinking less than one litre of water in a day (Water) | ||
| What percentage of 12-15 year olds say they enjoy half of their lessons? (Enjoy lessons) | ||
| Meat | Water | Lessons |
| Birth control services | Religion, belief and cigarettes | Fitness |
| Teachers' expectations | Smoking | Visiting the Doctor |
| Fruit Veg 5-a-day | Beer and Lager | GoodNews about YP H&WB |
| Self-esteem | Sleep | |
The health and wellbeing of 12-15 year-old girlsSurvey results involving tens of thousands of girls with some results going back 30 years |
||
Children and young people who eat meat ‘on most days’
Since the 1970s, the Schools Health Education Unit has been asking children and young people about their health-related behaviour. Surveys take place in schools and colleges across the country and over 12,300 schools have been involved. To date, over 1.4 million children and young people have given answers to a range of topics including food choices. Since the early days, SHEU asked about the types of meat that pupils ate eg. lamb, beef, pork etc. and items like bacon, sausages and burgers. Right from the early survey results it was noticeable that there were always small differences between the responses from girls and boys that were consistent across age groups. Eating meat, regularly, was less popular with girls. The chart below shows the responses, from 1999, by 10-15 year-old boys and girls to a question about what they ate ‘on most days’. Boys than girls and older groups than younger groups consistently respond more to the ‘any meat’ option.
Results from 10-15 year-olds in response to the “any meat” item in a question about what they ate “on most days”, 1999-2015

Although we started asking questions, about eating meat, in the 1970s, the format has remained similar from 1999 thus enabling any trends to be observed. As the results are based on the combined data from local surveys across the country there will always be yearly differences depending on the numbers participating and the differences between areas. However, there are important similarities. For example, in 2008 over 65,000 10-15 year-olds responded to the ‘any meat’ question compared with over 21,000 in 2014 : in 2008 and 2014, 41% 12-11 year-old boys said they ate meat and in both years more boys than girls said they ate meat ‘on most days’. It is clear from the results that fewer girls than boys say they regularly eat meat. It is also clear that differences between the genders across the age groups remains consistent despite the variations in results across the years. Our findings corroborate other survey results from around the world including:
Poor diet puts teenagers' health at risk – Australia 2007
The Scottish Health Survey 2011: Volume 2 - Children
We can also show that those who respond to eating meat regularly are also more likely to … say they enjoy physical activity and report higher scores on self esteem questions. 14-15 year old girls who respond to eating meat regularly are more likely to report wanting to lose weight and skipping school lunch. The latter points can also be found in other research.
Why do girls report they eat meat less often than boys?
A study, in Dublin in 1977 carried out before the BSE crisis, involved 450 teenage girls. Results showed that the teenage girls stopped eating meat as a "slimming strategy". More than half said they did not like the taste which could include girls who do not want to admit that they are trying to lose weight. More than two thirds of the group said they thought meat was fattening and 59 per cent wanted to be slimmer. 53 per cent said it was "cruelty to animals".
Do girls tell us they eat meat less often because they may be eating it with boys?
In a study at a Canadian university in 2009, female students, who were observed eating with a male companion, chose foods of significantly lower caloric value than those observed when eating with another woman.
… and if they are eating less meat ... teenage girls need 30% more iron than boys! Leaflet
Water and children, young people, pupils and students
SHEU have been talking to young people, about their health and wellbeing, for over 30 years. Among the many topics that are explored in the surveys is the issue of water consumption. Guidelines suggest that water intake can come from many sources including food, tea, fruit squashes etc., but organisations we work with are particularly interested in water.
Water UK suggest guidelines from the US National Academies Food and Nutrition Board:
• 4-8 year olds should drink 1.2 litres of water per day and
• 9-13 year old girls should drink 1.6 litres per day, and boys should drink 1.8 litres per day
• 14-18 year old girls should drink 1.8 litres per day, and boys should drink 2.6 litres per day
• Water intake should be higher in warm weather or when the child is exercising.
Since 2006 SHEU have asked over 230,000 10-15 year olds, “How much water did you drink yesterday?" They are asked only to count plain water, not juice, tea etc., and they are given 5 options: Nothing, 1 or 2 cups, 3-5 cups, About a litre, About 2 litres, More than 2 litres.

On average ...
- Around 20% of 10-11 year olds report drinking about one litre of plain water yesterday
- Around 11% of 14-15 year olds drank two or more litres
- Around 7% of 10-11 year olds report having no plain water to drink
- Around 30% of 12-13 year olds drank 3-5 cups (less than a litre)
Assuming yesterday was a normal day and one of the recommended guidelines is for 1.8 litres a day, should we be concerned that (in 2013) 78% of 14-15 year old girls regularly report drinking less than one litre of water in a day? (see chart below).
Those 10-15 year olds who report drinking less than one litre of water 'yesterday' 2013

In 2010 we looked at those pupils who reported drinking no water at school yesterday and the ease of access to water (table below). At school, 24% of 14-15 year old females who reported drinking no water did not have access to water at school.
(At school) % No water by Ease of access to water
| %Yr 10 M | %Yr 10 F | |
| No | 20 | 24 |
| Not easily | 10 | 13 |
| Yes | 12 | 14 |
See also -
There are a number of research studies into water consumption and young people including:
Should children drink more water? "Consuming water improved children's performance on tasks that require visual processing."
Providing children with water at school significantly increased levels of cognition “This research indicates that adequately hydrated children may perform better and be better behaved in school."
Can water boost exam grades? “The results imply that the simple act of bringing water into an exam was linked to an improvement in (university) students’ grades."
Drinking water in schools and overweight prevention "Our environmental and educational, school-based intervention, with the single focus on the promotion and provision of drinking water, proved to be effective in the prevention of childhood overweight."
An article in the journal Education and Health, (vol.30:3), describes how water supplementation improves visual attention and fine motor skills in schoolchildren.
How many lessons do 12-15 year olds enjoy at school?
Since 2002, over 230,000 12-15 year olds have told SHEU about their attitudes to lessons.
In 2013, up to 38% of older pupils reported enjoying ‘most’ school lessons.
Chart 1 shows responses to the five points on the 'All of them' to 'Hardly any' scale.
Chart 1. Results from 2013 - How many lessons do you enjoy at school?

Since 2002, Table (below), between 28% - 44% of 12-15 year olds say they enjoy ‘most / all’ school lessons with older pupils reporting slightly higher percentages. Also ...
- Between 2% - 9% said that they enjoy all their school lessons
- Around 32% said they enjoy half of their lessons
- Between 7% - 19% said they enjoyed hardly any of their lessons
Table 1. Results from 2002 from over 230,000 12-15 year olds who report enjoying ‘most / all’ school lessons

To read more about what young people say to SHEU about their lives, please follow this link.
See also -
There are a number of research studies into enjoyment of school lessons including:
How can we enhance enjoyment of secondary school?: the student view "Enjoyment of school tends to be promoted by factors such as successful social relationships, small classes, variation in learning, and students having some control of their learning."
School quality, child wellbeing and parents' satisfaction "Child wellbeing at school and enjoyment of the learning environment are important economic outcomes, in particular because a growing body of research shows they are strongly linked to later educational attainments and labour market success."
Religion, belief and cigarettes
Several authorities have been looking at young people's involvement with religion or belief. However, there isn't yet a consensus about which questions to ask.
|
|
One authority asked a similar question to the decennial census: What is your religion? 54% of their young people said they didn't have one, with nearly all of the rest signing up to one of the 'big six' religions of Buddhism, Christianity, Hinduism, Islam, Judaism or Sikh. This picture is similar to the the one seen in a large sample of 16+ students in FE colleges, reported in SHEUNews a couple of years ago, when 52% said they had no religion or belief. | |
| As we noted at the time, some campaigners were critical of the choice of question from the census, as it's rather leading. Better, they said, to ask first "Do you have a religion or belief?" and then "If so, what is it?" (see https://census-campaign.org.uk/). This can increase the proportion of non-religious recorded from 15% to over 30%. | ||
|
|
We have asked in some surveys, Are you a practising member of a religion? (i.e. do you attend a place of worship or worship at home). Asked in this way, about 10% of young people say Yes. | |
|
|
We are of course interested to see any connections between religious adherence and health-related behaviour. Among 7,000 Year 10 students, 37% had ever tried a cigarette; among those who were religious, the figure was just 25%. |
|
Teenage pregnancy - birth control services:
Young people’s knowledge of local birth control services
The two charts below show data, since 1993, from thousands of young people who have taken part in SHEU's Health Related Behaviour Questionnaire (HRBQ). They provide a glimpse into young people’s knowledge of local services.
There are three response options to the question about locally available birth control services for young people. The first chart, shows the results from those pupils who have responded to the Don't know option. The figures, showing that 40-80% of pupils report they don't know about a local service, need to be considered alongside the numbers reporting that they knew there was not a local service (not shown but inferred from the charts presented). Those that don’t know suggests a lack of knowledge that could be accommodated through health promotion programmes. Those that report not knowing may also be a reflection of a perceived lack of need to know.
Do not know about a local birth control service for young people 1993-2013

The second chart, ‘Know about a local birth control service for young people’, shows older pupils occupying the higher percentages and 14-15 year old females report the highest numbers. The lower figures, from the 14-15 year old males, may be more of a surprise if it is assumed that this group have asked the question. There is an upward trend with two peaks [2007/2013], in responses from younger pupils.
Know about a local birth control service for young people 1993-2013

For details about the SHEU HRBQ please visit this link
For more SHEU data about young people please visit this link
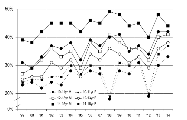
Young people’s assessment of their fitness
Since 1991, the Schools Health Education Unit have asked over 510,000 young people about their fitness. The question appears in the Health Related Behaviour Questonnaire (HRBQ) among other questions relating to exercise and sport. The results, from over 100 questions in the HRBQ, are used by health and education authorities to inform their planning.
The young people are asked to rate their level of fitness on a scale: Very fit, Fit, Moderately fit, Unfit, Very unfit.
10-15 yr. olds who report being 'fit or very fit' 1991-2013

There is an overall decline in those reporting being fit or very fit. As they get older, the females report feeling they have lower fitness levels. 14-15 year old females have consistently reported the lowest levels of fitness. The higher self-assessment of the males is consistent with their higher participation in sporting activities. Do the females see themselves as less fit than the males because they participate in less physical activity or indeed are they less fit than the males?
For details about the SHEU HRBQ please visit this link
See also -
There are many research studies into young people and fitness including:
Young people are fit and active - fact or fiction? " ... young people’s habitual physical activity and aerobic fitness ... reference to previous generations."
Children are still fit, but not active! "... young people's fitness and physical activity are not deteriorating over time."
Childhood aerobic fitness predicts cognitive performance one year later "... children classified as aerobically fit still outperform their lower-fit peers on the cognitive challenge approximately one year later."




